新型冠状病毒自从2019年12月被发现以来,由新型冠状病毒感染导致的肺炎(以下简称新冠肺炎)迅速传播,在很短的时间内从武汉扩散至全国乃至国外。截至2020年2月10日24:00,新冠肺炎全国已经累计确诊42708人,疑似21675人,累计治愈3998例 ,新冠肺炎导致的死亡达1017人。
可以说,2020年的整个春节都在疫情的笼罩之下,全国各地人民都自觉闭门在家,实时关注疫情,期盼着疫情拐点早日到来,整个疫情能早日结束。此前,很多分析预测在2月9日左右的疫情拐点并未出现,随着第一个14天隔离期的结束,全国现有疑似病例在近几日出现下降,按照专家所说的拐点出现有两个标志:一是疑似感染下降,二是发病下降。
那么真正的疫情拐点在什么时候呢?今天我们就做一个深度的分析预测,为大家了解新冠肺炎疫情在未来一段时间的发展变化提供些许参考。
疫情数据总体情况
注:疫情数据来自国家卫生健康委员会及湖北省卫生健康委员会官方网站。
我们统计了从2020年1月23日开始至2020年2月9日这段时间的数据用于疫情传播动力学模型的参数辨识。数据包含:全国每日现有确诊病例人数(以下简称确诊病例),全国每日现有疑似病例人数(以下简称疑似病例),全国每日累计出院病例和累计死亡病例人数(以下合称治愈和死亡病例)。
先分析确诊和疑似病例
截至2月9日24:00,全国现有确诊病例35982人,疑似病例23589人,其变化情况如下图1。

图1 全国每日现有确诊与疑似病例数变化趋势
从分析图看出,全国疑似病例在8日出现明显下降,说明随着接诊能力提升,特别是武汉正在加紧尽快完成检测所有疑似患者的工作,很多疑似患者被排除或确诊。如果接诊能力继续大幅提升,疑似患者继续大幅下降也是可预见的。
再来看治愈和死亡病例曲线变化
截至2月9日24:00,全国累计治愈病例3281人,死亡病例908人,其变化情况如下图2。目前新冠肺炎还没有特效药,只能依靠患者自身免疫力对抗病毒,所以其总人数保持类似指数形式增长。

图2 全国现有治愈与死亡病例数变化趋势
通过疫情传播动力学建模,预测疫情未来发展及拐点时间
▷ 疫情传播动力学过程建模
1、疫情特征假设
我们通过分析这一段时间以来湖北以及全国不含湖北地区的疫情变化规律,对新冠肺炎传播特征做出以下假设:
(1)人群分类:
正常人:指新冠肺炎的易感人群,对病毒没有抗性,接触携带者或者确诊病人即可能被传染;
疑似病例:指尚未被确诊的与新冠肺炎症状相同的病人;
确诊病例:指经医学诊断确认为新冠肺炎患者;
移出者:指退出疫情传播过程的人群,包括治愈和死亡病例。
(2)假设全国人口流动性不大。
(3)假设被隔离人群不能绝对隔离,仍有较低的对外传染性。
(4)假设已治愈患者具有免疫力,不会二次感染。
(5)假设所有患者均为被他人传染所致,不存在自体发病(传染病初期自体发病较少,可忽略不计)。
(6)假设被隔离人群内不存在交叉传染。
(7)无症状病毒携带者数量忽略不计。
(8)假设各类人群的在总体人群中为均匀分布。
2、人群类型转换过程
实际中的人群类型转换过程如下图3所示。根据疫情的特点分析可知:(1)疑似病例中只有部分病例为新冠病毒携带者,占比可能随着疫情发展动态变化;(2)已知有媒体反映无症状携带者也具有传染能力,这类人由于无症状难以被识别可以归为正常人群;(3)死亡病例和治愈病例均退出了疫情传播过程,为了方便分析我们将其归类为移出者。经以上分析,图3的人群类型转换过程就简化为图4的SEIR模型。

图3 实际中的人群类型转换过程

图4 SEIR模型
3、 数学符号定义
为方便描述,我们定义如下数学符号及含义:
t:相对时间,即疫情从某个时间点开始已经发生的天数
S:正常人群数,随时间t变化,可表达为S(t)
E:疑似病例数,随时间t变化,可表达为E(t)
I:确诊病例数,随时间t变化,可表达为I(t)
R:移出者,包括死亡病例、治愈病例,随时间t变化,可表达为R(t)

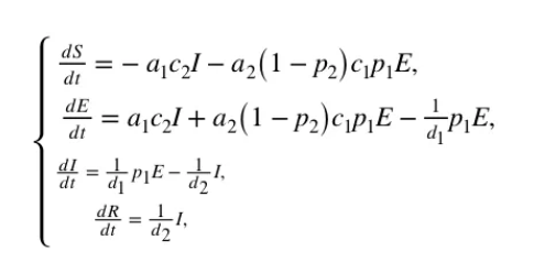
4、疫情传播动力学模型
基于SEIR模型改进得到:

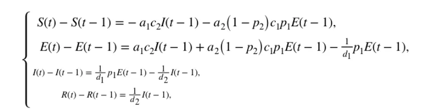
该微分方程组离散化之后:

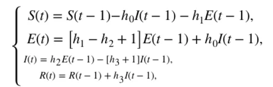
整理并简化表达为:

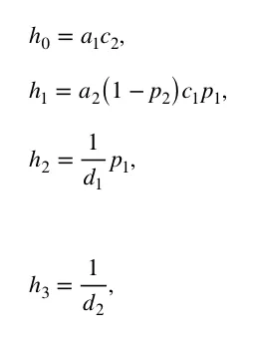
其中,

5、模型参数辨识
(1)S为国内所有正常人群(13亿以上),基数比较庞大,其波动值相对于S可以忽略不计,所以可以不予考虑。

可以不予考虑。
(2)由上文数学符号的定义及函数h0,h1,h2,h3的表达式可知,h0,h1,h2,h3 均为时间t的函数,即h0(t),h1(t),h2(t),h3(t)。但该函数的解析式由现有的信息难以确定。为了简化模型,我们假设函数hi(t)的解析式均为关于时间t的一元高次函数:

其中,wi,j为待确定的未知参数,L为函数自变量t的最高次数。

经过这样的而简化,疫情传播动力学模型中就只剩下未知参数wi,j 。我们构建如下参数辨识问题:
决策变量:未知参数 wi,j
目标函数:

其中,E'(t)为第t天实际疑似病例数,I'(t)为第t天实际确诊病例数,R'(t)为第t天实际治愈和死亡病例总数,T为疫情发展中的某段数据。
这是一个无约束非线性非凸优化问题,通过全局优化算法求解该问题即可得到所有的未知参数wi,j 。我们采用改进型的蝙蝠算法(BA)求解该问题,选取2020-01-23开始至2020-02-08这段时间的全国统计数据用于参数辨识,最终得到了一组最优解:
L=1, w= [9.49070574, 3.46131675, 79.99989274, -8.85233172, 24.08240142, -0.83903644, -1.68294284, 0.25594611],计算过程略去。
6、 模型预测结果
将最优解导入模型,经过数据计算得到如下图5所示结果。由图表可知2月8日之前的疫情拟合数据与真实数据比较贴近,但是2月9日的疑似病例突然大幅下降使误差超过6000人,查阅各省数据发现湖北相比2月8日排除疑似病例1128人,9日排除7194人,排除速度增加了6000多人,所以使9日的疑似病例大幅减少。
我们从新闻媒体了解到,2月8日湖北省委书记、省新冠肺炎疫情防控指挥部指挥长蒋超良在武汉市督导疫情防控工作强调,集中两天时间将全市累积的所有疑似患者检测完毕,释放医护力量和医疗资源,集中用于确诊患者。所以由于政府采取了更加强力的疫情防控措施,相信接下来的一段时间,更多疑似人数被排除,新增确诊和新增疑似继续下滑,疫情必将有所好转。

图5 模型预测结果
另外,从图表中我们也能看出实际新增、确诊曲线与预测的曲线都保持高度的重合,实际疑似的下降趋势比预测的要更早些,而且由图看出,预测的疑似病例在2月10日达到峰值,2月15日确诊病例将达到峰值,如果接下来新增确诊人数持续走下坡路,我们就可以确定拐点出现了,预计到3月底新增确诊才会下降到个位数,标志着疫情进入尾声。考虑到很多企业从2月10日陆续复工,人员流动也会增加,这无疑增加了疫情周期延长的风险。
拐点的出现仅仅是曙光,确诊人数不再增加,那才是全国人民的最后胜利!
总结
截至2020年2月10日24:00,疑似病例基数较大但增长已经放缓甚至开始下降,但确诊病例还在持续增加,但新增确诊人数已出现下滑,疫情有望在2月16日迎来拐点,随着新增确诊人数继续下降,医疗资源的配建和治愈力的提升,疫情有望在3月底进入尾声。
但有一点还需要关注的是,全国不含湖北地区的新增死亡人数进入快速倍增期,已快于新增治愈人数,形势不容乐观。虽然省外的医疗系统资源充足,但是由于特效药的缺乏,无法突破98%的自然存活几率,因此,特效药和疫苗的研发刻不容缓。
本文主要从传染病动力学模型的角度分析疫情的发展趋势,为大家合理应对新型冠状病毒肺炎疫情提供参考。当前阶段,少出门、戴口罩、疑似病例和病例接触者做好隔离是控制病毒传播的最有效手段。相信在党中央的领导下,在社会各界的努力下定能消除疫情,拐点的出现就是曙光所在。
免责声明:
疫情发展受人员流动、疫苗的使用及多种干预措施的影响,数学模型难以预判这些干预措施,并且所限定时间节点前的数据仅代表当前的疫情控制情况,其预测结果仅供参考。考虑到防控措施不断加强,模型的预测结果可能会高估疫情。
本分析报告基于公开疫情数据,通过理解公开文献中的传染病模型并加以改进得到。分析预测结果仅作为研究参考,非官方结论。发布者不对本文结果和结论的准确性负责。
本文转载自微信公众号 永洪科技,作者:孙丰
乐思舆情监测(knowlesys.cn),助您全面掌握疫情全领域动态。